1. Introduction
La présente fiche vise à répondre aux questions pratiques qui se posent concernant l’organisation des élections communales et provinciales en cas de fusion volontaire de communes. La fiche précise par ailleurs les particularités applicables à l’élection des membres du conseil de l’action sociale du nouveau CPAS.
La fiche aborde cinq thématiques :
- l’établissement des chiffres de population et le nombre de mandats électifs (point 2) ;
- l’impact d’une fusion de communes sur les élections provinciales (point 3) ;
- l’impact d’éventuels recours (introduits contre l’élection) sur la date de la fusion (point 4) ;
- l’organisation des élections communales pour les communes fusionnées (point 5) ;
- l’élection des membres du conseil de l’action sociale du nouveau CPAS (point 6).
Au sens de la présente fiche, il faut entendre par :
- Code : le Code wallon de la démocratie locale et de la décentralisation (CDLD) ;
- communes fusionnées : les communes originelles, visées dans le décret de fusion, conformément à l’article L1151-2, 4°, du Code ;
- nouvelle commune : la commune créée en vertu du décret de fusion, conformément à l’article L1151-2, 5°, du Code ;
- décret de fusion : le décret sur la base duquel des communes sont supprimées et une nouvelle commune est créée dont les frontières sont fixées, conformément à l’article L1151-2, 1°, du Code ;
- loi organique : la loi organique du 8 juillet 1976 des centres publics d’action sociale (L.O. CPAS) ;
- nouveau CPAS : le centre public d'action sociale desservant la nouvelle commune, conformément à l’article 135decies, 8°, de la loi organique du 8 juillet 1976 des centres publics d’action sociale.
Les dispositions de la quatrième partie du Code qui sont citées dans cette fiche sont les dispositions actuelles de la quatrième partie du Code.
2. Etablissement des chiffres de population et nombre de mandats électifs
L’article L1156-2, paragraphe 1er, du Code, énonce : « Le nombre de membres du conseil communal, du collège communal ainsi que les traitements des bourgmestre et échevins de la nouvelle commune sont déterminés sur base du nombre d’habitants de la nouvelle commune conformément à l’article L1121-3 ».
L’article L1121-3, alinéa 1er, du Code, prévoit que « la classification des communes conformément aux articles L1122-3 et L1123-9 est mise en rapport avec le chiffre de la population par le Gouvernement lors de chaque renouvellement intégral des conseils communaux. Le nombre d’habitants à prendre en considération est le nombre de personnes inscrites au Registre national des personnes physiques ayant leur résidence principale dans la commune concernée à la date du 1er janvier de l’année du renouvellement intégral ».
L’article L1121-3, alinéa 3, du Code, dispose : « Les chiffres de la population des communes de la Région, établis conformément à l’alinéa 1er, sont publiés au Moniteur belge, par les soins du Gouvernement, au plus tard le 1er mai de l’année durant laquelle le renouvellement intégral des conseils communaux a lieu ».
L’article L1122-3, alinéa 1er, fixe le nombre de conseillers communaux en fonction du nombre d’habitants de la commune.
L’article L1123-9 établit le nombre d’échevins en fonction du nombre d’habitants de la commune.
Il résulte de ceci qu’au 1er janvier de l’année des élections ordinaires, le nombre d’habitants dans chaque commune sert à déterminer le nombre de mandats d’échevins et de conseillers communaux. Ces chiffres sont publiés au Moniteur belge au plus tard le 1er mai de l’année des élections ordinaires.
En vertu des articles L2212-5, alinéas 2 et 4, du Code, le même mécanisme existe au niveau provincial. Toutefois, en plus, en vertu de l’article L2212-6, alinéa 3, seconde phrase, l’établissement des chiffres de population sert également à déterminer la répartition des conseillers provinciaux entre les districts électoraux, ces derniers correspondant aux circonscriptions pour l’élection provinciale, conformément à l’article L4112-2, paragraphe 1er, alinéa 3, du Code.
Quatre arrêtés[1] du Gouvernement wallon établissent le classement des communes et provinces, la répartition des conseillers provinciaux par province et la répartition des conseillers provinciaux par districts électoraux :
- arrêté du Gouvernement wallon du 8 mars 2018 déterminant le nombre de conseillers provinciaux à élire par province en fonction des chiffres de population arrêtés à la date du 1er janvier 2018 ;
- arrêté du Gouvernement wallon du 8 mars 2018 portant répartition des conseillers provinciaux entre les districts électoraux ;
- arrêté du Gouvernement wallon du 8 mars 2018 établissant par province et par commune les chiffres de la population au 1er janvier 2018 ;
- arrêté du Gouvernement wallon du 8 mars 2018 portant classification des communes en exécution de l’article L1121-3, alinéa 1er, du CDLD.
La fusion de communes pose question quant à l’établissement des chiffres de population à la date du 1er janvier 2024 afin de déterminer le nombre de mandats de conseillers communaux et d’échevins de la nouvelle commune.
Ce sera l’addition des chiffres de population des communes fusionnées qui donnera le chiffre de population de la nouvelle commune. Le reclassement de la nouvelle commune déterminera le nombre de mandats de conseillers communaux et d’échevins à pourvoir. C’est ce qu’énonce l’article L1156-2, paragraphe 1er, du Code.
Exemple : les communes A et B ont décidé, au plus tard le 31 octobre 2022, de fusionner, formant ainsi à terme la nouvelle commune C. Le chiffre de population de la commune A au 1er janvier 2024 est de 16 327 habitants, celui de la commune B, à la même date, est de 7 126 habitants. Il y a 25 conseillers communaux et cinq échevins dans la commune A, 19 conseillers communaux et quatre échevins dans la commune B. Le chiffre de population de la nouvelle commune C sera donc égal, au 1er janvier 2024, à 23 453 habitants, ce qui donnera 27 mandats de conseillers communaux et 6 mandats d’échevins.
Les chiffres de population à la date du 1er janvier 2024 sont établis par les services du Registre national, mais il n’est pas nécessaire que l’addition des chiffres de population soit réalisée directement par eux. A partir des chiffres de population des communes fusionnées, le tableau qui établira le chiffre de population par commune, ainsi que le tableau qui établira la classification des communes en exécution de l’article L1121-3, alinéa 1er, du Code, seront manuellement adaptés afin de faire apparaître la nouvelle commune, mais aussi les communes fusionnées, de telle sorte que les tableaux montrent clairement l’opération de fusion.
Exemples :
|
Arrondissement de … |
75 000 |
|
Commune C (fusion) Commune A Commune B |
23 453 16 327 7 126 |
|
Commune D |
12 500 |
|
Commune E |
14 745 |
|
Commune F |
9 250 |
|
Commune G |
15 052 |
|
Communes |
Nbre hab. au 1er janvier 2024 |
Classe |
Echevins |
Membres du conseil |
|
Province de … |
||||
|
Arrondissement de … |
||||
|
Commune C (fusion) Commune A Commune B |
23 453 16 327 7 126 |
11 |
6 |
27 |
|
Commune D |
12 500 |
9 |
5 |
23 |
|
Commune E |
14 745 |
9 |
5 |
23 |
|
Commune F |
9 250 |
8 |
4 |
21 |
|
Commune G |
15 052 |
10 |
5 |
25 |
Cette solution simple est inspirée de ce qui existe en Flandre[2]. Par exemple, dans le cadre du classement des communes en Flandre, le tableau ci-après, publié au Moniteur belge (M.B., 7.6.2018, p. 47974), montre clairement la fusion des communes de Puurs et Sint-Amands pour former la nouvelle commune de Puurs-Sint-Amands.

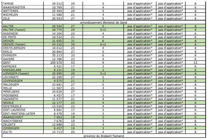
Autre exemple : on peut voir sur cette autre page du Moniteur belge (M.B., 7.6.2018, p. 47977) la fusion des communes d’Aalter et Knesselare (nouvelle commune : Aalter), de Deinze et Nevele (nouvelle commune : Deinze), de Waarschoot, Lovendegem et Zomergem (nouvelle commune : Lievegem) :

Le chiffre de population de la nouvelle commune servira à déterminer le nombre de membres du conseil de l’action sociale du nouveau CPAS (v. point 6).
Enfin, le raisonnement exposé ci-dessus pour le reclassement de la nouvelle commune vaudra également pour la publication des montants maximaux indicatifs de dépenses électorales et pour la publication des montants maximaux officiels de dépenses électorales[3]. Ces montants seront déterminés sur la base du nombre d’électeurs inscrits au registre des électeurs. Par conséquent, ce sera le nombre d’électeurs de la nouvelle commune qui déterminera les montants de dépenses électorales autorisés pour les listes et candidats.
3. Impact sur les élections provinciales
La question se pose également de savoir comment devront s’établir les chiffres de la population au niveau provincial, en cas de fusion de communes ne faisant pas partie de la même province, du même arrondissement administratif ou du même district électoral, ce qui est rendu possible par les articles L1151-1 et suivants du Code, notamment son article L1153-4, alinéa 2[4].
L’article L1156-1, alinéa 1er, du Code, énonce : « Par dérogation à l’article L4112-2, §1er, alinéa 2, pour les élections précédant la date de fusion, le ressort pour l’élection communale est le ressort de la nouvelle commune ».
Si cet article précise qu’il faut prendre en compte la nouvelle commune en tant que circonscription pour l’élection communale, il ne dit par contre rien des incidences possibles sur l’élection provinciale, alors que :
- il peut y avoir fusion entre des communes ne faisant pas partie de la même province ;
- il peut y avoir fusion entre des communes qui, faisant partie de la même province, ne font pas partie du même arrondissement administratif ;
- il peut y avoir fusion entre des communes qui, faisant partie de la même province et du même arrondissement administratif, ne font pas partie du même district électoral.
Ces questions revêtent une importance particulière dans le cadre du recensement des résultats et de la répartition des sièges pour l’élection provinciale, notamment du point de vue du groupement de listes en vue d’apparentement. Il s’agit en effet de déterminer, dans le troisième cas visé, à l’intérieur de quel district électoral la nouvelle commune devra être rangée. Dans le deuxième et le premier cas visés, il s’agira de déterminer, en plus, à l’intérieur de quel arrondissement administratif et, le cas échéant, à l’intérieur de quelle province, la nouvelle commune devra être rangée.
Indépendamment de ces questions, l’impact sur les élections provinciales peut également se poser en amont de l’organisation des élections, au moment de l’établissement des chiffres de population par commune et par province. En effet, les chiffres de population par province déterminent le nombre de mandats de conseillers provinciaux par province (CDLD, art. L2212-5, al. 1er) mais aussi la répartition de ces mandats entre les districts électoraux (CDLD, art. L2212-6, al. 2). Or, du fait de la fusion de communes, les mouvements de population d’un district à un autre peuvent entraîner une modification de la répartition des sièges à pourvoir par district électoral, sachant qu’un minimum de quatre sièges doit être à pourvoir par district électoral[5].
La solution à toutes ces questions se trouve à l’article L1153-4, alinéa 2, du Code, qui dispose : « Le projet de décret de fusion reprend le nom des communes à fusionner, la date de la fusion, le nom et l’indication des limites de la nouvelle commune et, au cas où les communes à fusionner ne relèveraient pas de la même province, la province à laquelle la nouvelle commune ressort ».
Dans ce dernier cas de figure, le décret de fusion devra préciser dans quel arrondissement administratif et dans quel district la nouvelle commune se trouvera. A partir de là, les chiffres de population à la date du 1er janvier 2024 détermineront le nombre de mandats de conseillers provinciaux et la répartition de ces mandats entre les districts électoraux. Il conviendra néanmoins d’être attentif à ce que, dans chaque district électoral, le nombre de sièges à pourvoir soit d’au moins quatre sièges. L’annexe 3 du Code devra être modifiée afin de faire ressortir la nouvelle composition des districts électoraux et, le cas échéant, des arrondissements administratifs et des provinces. La modification de l’annexe 3 pourrait être effectuée par le décret de fusion lui-même (v. à ce sujet l’exemple de la Flandre[6]).
Enfin, les questions évoquées ci-dessus sont susceptibles également d’avoir un impact sur les circonscriptions pour l’élection régionale, en particulier en cas de fusion entre communes ne faisant pas partie de la même province.
Les solutions dégagées ci-dessus devraient s’appliquer également dans ce cas. Si nécessaire, le décret de fusion devra préciser le canton électoral à l’intérieur duquel la nouvelle commune devra être rangée, ainsi que, le cas échéant, l’arrondissement administratif et la circonscription électorale.
A noter qu’en Flandre, toutes les fusions de communes, depuis l’entrée en vigueur du décret du Parlement flamand du 24 juin 2016 relatif aux règles pour la fusion volontaire de communes et modifiant le décret du 5 juillet 2002 réglant la dotation et la répartition du Fonds flamand des Communes, du décret communal du 15 juillet 2005, du décret provincial du 9 décembre 2005 et du décret sur les élections locales et provinciales du 8 juillet 2011, sont intervenues entre communes faisant partie de la même province, du même arrondissement et du même district.
4. Impact d’éventuels recours introduits contre l’élection sur la date de la fusion
Conformément aux articles L4146-4 et suivants du Code, les candidats aux élections communales peuvent introduire un recours contre l’élection. Un appel est possible devant le Conseil d’Etat.
Or, la durée de ces procédures pourrait conduire à une discordance avec la date de la fusion telle qu’elle sera fixée dans le décret de fusion conformément aux articles L1153-4, alinéa 2, et L1151-2, 2°, du Code. Ce second article énonce que la fusion est effective le premier lundi du mois de décembre qui suit les élections ordinaires, ce qui coïncidera avec l’installation du conseil communal de la nouvelle commune. Or, il est possible, en cas de recours contre l’élection, que l’installation du conseil communal soit différée.
Pour cette raison, il serait utile que le décret de fusion précise la possibilité de report de la date de fusion en cas de recours toujours pendants introduits contre l’élection à la date de la fusion[7].
5. Organisation des élections communales pour les communes fusionnées
L’organisation des élections communales, provinciales, mais aussi fédérales, régionales et européennes, dépend des communes. Ce sont les communes qui, notamment, permettent la tenue des opérations de vote sur leurs territoires respectifs. La question se pose donc de savoir, en cas de fusion de communes, comment doivent être organisées les nombreuses opérations électorales à charge des communes.
Deux principes devront s’appliquer en la matière. Le premier principe sera que, pour l’ensemble des communes fusionnées, les opérations électorales seront prises en charge par une seule commune. Par analogie avec le principe prévu par les articles L1153-2, alinéas 1 et 2, du Code (selon lequel une concertation doit avoir lieu entre les directeurs généraux et directeurs financiers des communes fusionnées pour assurer la mise en œuvre de la fusion au niveau administratif), la commune qui devra prendre en charge les opérations électorales devra être celle du directeur général-coordinateur. Un tel principe est conforme à l’article L1156-1, alinéa 2, du Code, qui dispose : « sont considérés comme opérateurs électoraux visés à l’article L4112-14, §2, 3°, 4° et 5°, le directeur général-coordinateur, le bourgmestre et le collège communal de la commune fusionnée dont le directeur général a été désigné comme directeur général-coordinateur ».
On notera que cette solution est différente de celle prévue en Flandre en cas de fusion de communes. En Flandre, le principe est que chaque commune fusionnée organise l’élection communale sur son territoire respectif, conformément à l’article 352, 2°, du décret du Parlement flamand du 22 décembre 2017 sur l’administration locale[8]. Outre le fait que cette solution paraît difficile à mettre en œuvre sur le plan pratique, il convient de privilégier la concertation entre les communes fusionnées. Celle-ci doit par ailleurs exister à d’autres stades de la procédure de fusion.
Le second principe qui devra s’appliquer est celui d’une assistance des autres communes fusionnées vers celle qui aura la charge des opérations électorales. En partant du principe que la commune du directeur général-coordinateur sera en charge de la préparation des opérations électorales, il sera indispensable, pour que ces opérations puissent être accomplies, que les autres communes fusionnées apportent une telle assistance (v. ci-dessous). La commune du directeur général-coordinateur préparera donc l’élection communale, sur le territoire de la nouvelle commune, avec toute l’assistance requise des autres communes fusionnées.
En prolongement des deux principes décrits ci-dessus, un unique bureau communal devra être en charge des opérations électorales pour l’ensemble des communes fusionnées. Ce bureau communal unique devra être localisé dans la commune du directeur général-coordinateur.
La composition de ce bureau communal unique ne différera pas de la composition habituelle de tout bureau communal. Autrement dit, le bureau communal comportera un président, un secrétaire, quatre assesseurs et quatre assesseurs suppléants. La fusion de communes n’impliquera pas une augmentation du nombre de membres du bureau communal. En revanche, les membres du bureau communal, comme les membres des bureaux de vote et des bureaux de dépouillement communal, pourront être désignés parmi les électeurs de l’ensemble des communes fusionnées, et non parmi les seuls électeurs de la commune où seront localisés les bureaux.
Enfin, concernant l’incompatibilité instituée par l’article L4125-1, paragraphe 4, alinéa 2, du Code, entre les fonctions de président, assesseur ou assesseur suppléant du bureau communal, et les fonctions de directeur général provincial, directeur général communal, directeur financier provincial et directeur financier communal, l’incompatibilité vaudra pour l’ensemble des directeurs généraux communaux et directeurs financiers communaux des communes fusionnées.
Exemple : les communes A, B et C décident de fusionner et formeront à terme la nouvelle commune D. Dans le cadre des opérations de fusion, le directeur général de la commune C est désigné directeur général-coordinateur. C’est donc la commune C qui aura la charge, pour l’ensemble des communes A, B et C, des opérations électorales qui, en temps normal, sont accomplies par les communes. Un seul bureau communal aura la charge, pour l’ensemble des communes A, B et C, des opérations électorales qui, en temps normal, sont accomplies par les bureaux communaux. En l’espèce, ce bureau communal unique sera localisé dans la commune C. Il sera composé d’un président, un secrétaire, quatre assesseurs et quatre assesseurs suppléants. Il sera par exemple possible que, parmi les quatre assesseurs, il y en ait deux qui aient la qualité d’électeurs de la commune A, un qui ait la qualité d’électeur de la commune B, et un qui ait la qualité d’électeur de la commune C. Le directeur général-coordinateur ne pourra exercer la fonction de président, assesseur ou assesseur suppléant du bureau communal ; il en sera de même pour les directeurs généraux communaux des communes A et B, et des directeurs financiers communaux des communes A, B et C.
Les deux principes décrits ci-dessus s’appliqueront pour les opérations électorales suivantes :
- envoi des convocations (CDLD, art. L4124-1, par. 4, al. 1er, et L4124-2) ;
- désignation, par le président du bureau de district, du président du bureau communal (CDLD, art. L4125-3, par. 2, al. 1 et 2) : les « électeurs de la commune » visés à l’article L4125-3, paragraphe 2, alinéa 2, du Code, doivent être entendus comme les électeurs des communes fusionnées ;
- désignation, par le président du bureau communal, des membres du bureau communal (CDLD, art. L4125-3, par. 3, al. 1er) : les « électeurs de la commune » visés à l’article L4125-3, paragraphe 3, alinéa 1er, du Code, doivent être entendus comme les électeurs des communes fusionnées ;
- désignation, par le président du bureau communal, des présidents, assesseurs et assesseurs suppléants des bureaux de vote et des bureaux de dépouillement communal (CDLD, art. L4125-5, par. 1 et 2) : les « électeurs de la commune » visés à l’article L4125-5, paragraphes 1 et 2, doivent être entendus comme les électeurs des communes fusionnées ;
- désignation, par le président du bureau de vote, de son secrétaire (CDLD, art. L4125-11) : les « électeurs de la commune » visés à l’article L4125-11 doivent être entendus comme les électeurs des communes fusionnées ;
- désignation, par le président du bureau de dépouillement communal, de son secrétaire (CDLD, art. L4125-15, al. 1er) : les « électeurs de la commune » visés à l’article L4125-15, alinéa 1er, doivent être entendus comme les électeurs des communes fusionnées ;
- affichage électoral (CDLD, art. L4130-1 et suivants, notamment art. L4130-2) : une concertation devra avoir lieu entre chaque commune fusionnée afin qu’elles adoptent chacune un règlement communal identique, notamment afin que des critères identiques soient retenus en vue de réglementer la répartition des espaces sur les panneaux électoraux entre les listes ;
- séance du bureau communal relative à la désignation des témoins dans les bureaux de vote et de dépouillement (CDLD, art. L4134-1, par. 3) ;
- réception des candidatures, arrêt provisoire des listes, arrêt définitif des listes et opérations postérieures à l’arrêt définitif des listes (CDLD, art. L4142-1 et suivants) ;
- opérations de recensement (CDLD, art. L4145-1 et suivants) ;
- opérations à accomplir dans le cadre de la procédure de validation (CDLD, art. L4146-1 et suivants).
Par dérogation à ce qui précède :
- la préparation et l’équipement des locaux de vote et de dépouillement sera assurée par chaque commune fusionnée séparément. Chaque commune fusionnée s’occupera des bureaux de vote et de dépouillement communal localisés sur son territoire (CDLD, art. L4112-9) ;
- pour l’arrêt, l’établissement et l’utilisation du registre des électeurs (CDLD, art. L4122-1 à L4122-8), chaque commune fusionnée s’occupera séparément de ces opérations ;
- les éventuels recours contre le registre des électeurs (CDLD, art. L4122-9 et suivants) devront être introduits auprès du collège communal de la commune fusionnée dont relève l’électeur ;
- les opérations de sectionnement (CDLD, art. L4123-1 et L4123-2) devront être établies séparément par chaque commune fusionnée. Chacune se chargera des opérations de sectionnement sur son territoire respectif ;
- la publication de l’avis de convocation (CDLD, art. L4124-1, par. 3) devra être assurée par chaque commune fusionnée sur son territoire respectif ;
- l’électeur qui n’aura pas reçu sa convocation pourra l’obtenir auprès de l’administration communale de la commune fusionnée dont il relève, au plus tard le jour de l’élection, à midi (CDLD, art. L4124-1, par. 4, al. 2) ;
- l’électeur à mobilité réduite qui souhaite être orienté vers un centre de vote adapté à son état (CDLD, art. L4133-1) pourra introduire sa déclaration auprès de l’administration communale dont il relève ;
- l’électeur qui souhaite remettre procuration (CDLD, art. L4132-1) et qui doit passer par l’administration communale pourra se présenter à l’administration communale dont il relève ;
- concernant les frais électoraux, une concertation entre communes fusionnées n’est pas nécessaire. La question est réglée conformément aux articles L1155-1, L1158-1 et suivants du Code.
Un autre point important concerne les logiciels électoraux utilisés dans le cadre des élections. Ceux-ci devront être paramétrés afin d’intégrer la fusion de communes. Une concertation entre les communes fusionnées devra au minimum avoir lieu sur le principe même de l’utilisation des logiciels électoraux dont l’usage ne serait que facultatif. Dans le cas où l’utilisation d’un logiciel électoral ne serait que facultative, il conviendrait que l’ensemble des communes fusionnées opèrent un choix uniforme quant à l’utilisation ou non de ce logiciel.
Le Code INS est un code numérique, élaboré par Statbel (l’Office belge de Statistique), attribué à chaque entité administrative afin de faciliter le référencement géographique des statistiques produites. Ce code INS est nécessaire pour paramétrer les logiciels électoraux. Sur ce point, il faut relever que la nouvelle commune recevra un nouveau code INS, en principe à la date de fusion.
Voir par exemple la fusion des communes flamandes de Puurs (code INS : 12030) et de Sint-Amands (code INS : 12034) pour former la nouvelle commune de Puurs-Sint-Amands (code INS : 12041)[9].
6. Elections des membres du conseil de l’action sociale du nouveau CPAS
L‘article 135undecies de la loi organique énonce : « La fusion de communes donne lieu à l'établissement de plein droit d'un nouveau CPAS à la création de la nouvelle commune. Les CPAS des communes fusionnées sont supprimés à la date de la fusion ».
L’article 135sexdecies de la loi organique dispose :
« §1er. La composition et la formation du nouveau conseil de l'aide sociale est régie par la section 1re du chapitre II.
§ 2. Pour l'application de l'article 6, la population à prendre en compte est celle de la nouvelle commune.
§ 3. Pour l'application de l'article 7, il faut être inscrit au registre de la population d'une des communes fusionnées.
§ 4. Pour l'application de l'article 9, 7°, les termes " toute personne qui est membre du personnel communal, ou qui reçoit un subside ou un traitement de la commune, à l'exception des pompiers volontaires et du personnel enseignant " visent toute personne qui est membre du personnel communal d'une des communes fusionnées, ou qui reçoit un subside ou un traitement d'une des communes fusionnées.
§ 5. La mise en œuvre de l'article 11 relève de la compétence du bourgmestre de la commune fusionnée et du directeur général-coordinateur de la commune.
§ 6. Le siège du CPAS dont le directeur général a été désigné comme coordinateur fait office de siège du nouveau CPAS, tant que le conseil d'action sociale n'a pas décidé de déplacer le siège du CPAS ».
Il résulte de ceci que la création de la nouvelle commune entraîne l’établissement du nouveau CPAS.
Les articles 10 à 12 de la loi organique, qui énoncent la procédure relative à l’élection des membres du conseil de l’action sociale, demeurent applicables à l’élection des membres du conseil de l’action sociale du nouveau CPAS, avec pour seule particularité que le bourgmestre et le directeur général de la commune visés à l’article 11 de la loi organique seront, respectivement, le bourgmestre de la commune fusionnée et le directeur général-coordinateur de la commune, conformément à l’article 135sexdecies, paragraphe 5, de la loi organique.
Le nombre de membres du conseil de l’action sociale sera fixé en fonction du nombre d’habitants de la nouvelle commune.
Si on reprend l’exemple donné au point 2 de la présente fiche, le chiffre de population de la commune A au 1er janvier 2024 est de 16 327 habitants, et celui de la commune B, à la même date, est de 7 126 habitants. Cela implique que, conformément à l’article 6 de la loi organique des CPAS, le conseil de l’action sociale de la commune A compte onze membres, et celui de la commune B, neuf membres. Le chiffre de population de la nouvelle commune C sera égal, au 1er janvier 2024, à 23 453 habitants, ce qui aura pour conséquence, conformément aux articles 6 et 135sexdecies, paragraphe 2, de la loi organique des CPAS, que le conseil de l’action sociale du nouveau CPAS comprendra onze membres.
En ce qui concerne les conditions d’éligibilité, les règles seront identiques à celles fixées par l’article 7 de la loi organique des CPAS, si ce n’est que, concernant la condition d’inscription au registre de population, il faudra que les candidats soient inscrits au registre de population d’une des communes fusionnées (L.O., art. 135sexdecies, par. 3).
Enfin, l’article 135sexdecies, paragraphes 4 et 6, de la loi organique des CPAS, énonce des particularités concernant les incompatibilités et le siège du nouveau CPAS.
L’incompatibilité qui s’applique aux membres du personnel communal et à ceux qui reçoivent un subside ou un traitement de la commune, à l’exception des pompiers volontaires et du personnel enseignant, vaudra pour les membres du personnel communal d’une des communes fusionnées et pour ceux qui reçoivent un subside ou un traitement d’une des communes fusionnées.
Concernant le siège du nouveau CPAS, celui-ci sera dans un premier temps fixé au siège du CPAS de la commune dont le directeur général a été désigné comme coordinateur. Dans un second temps, le conseil de l’action sociale pourra décider de déplacer le siège du nouveau CPAS.
[1] Le contenu de ces arrêtés, y compris leurs annexes, sera à terme repris dans le Code réglementaire wallon de la démocratie locale et de la décentralisation et formera les articles R1121-3-1, R1121-3-2, R2212-5-1, R2212-5-2 et R2212-6 ainsi que les annexes se rapportant à ces articles.
[2] V. arrêté du Gouvernement flamand du 25.5.2018 fixant le nombre de conseillers communaux à élire par commune, le nombre d'échevins à élire par commune, le nombre de membres des conseils de l'aide sociale à élire dans les communes périphériques et la commune de Fourons, le nombre de membres du bureau permanent à élire dans les communes périphériques et la commune de Fourons, le nombre de conseillers de district à élire par district à Anvers, le nombre de membres du comité spécial pour le service social à élire par commune, le nombre de conseillers provinciaux à élire par province de la Région flamande, et portant répartition des conseillers provinciaux entre les districts provinciaux. L’article 1er, 1°, de cet arrêté énonce : « Le nombre suivant de mandataires à élire est fixé dans le tableau repris en annexe 1re, jointe au présent arrêté: 1° le nombre de conseillers communaux à élire par commune et le nombre de conseillers communaux à élire de la nouvelle commune, sur la base de la somme des chiffres de la population des communes à fusionner, si une commune a communiqué au Gouvernement flamand une décision de principe de fusion ».
[3] Ces deux opérations ne sont pour l’instant pas prévues par la quatrième partie du Code mais devraient l’être à terme, en vertu de ce qui devrait être le futur article L4131-11, §§ 1er et 2.
[4] Les travaux préparatoires du décret du 2.5.2019, modif. le CDLD en vue d'établir le cadre de la fusion volontaire de communes, le confirment par ailleurs expressément (Trav. parl., projet de décret modifiant le Code de la démocratie locale et de la décentralisation en vue d’établir le cadre de la fusion volontaire de communes, session 2018-2019, n° 1378-1, exposé des motifs, www.parlement-wallonie.be, p. 3).
[5] Ceci est un enseignement d’un arrêt de la Cour constitutionnelle – C. Const., 5.12.2007, n°149/2007, https://www.const-court.be/fr.
[6] V. par ex. art. 8 du décret du Parlement flamand du 4.5.2018 relatif à la fusion volontaire des communes de Puurs et Sint-Amands et modifiant l'annexe au décret du 5.7.2002 réglant la dotation et la répartition du Fonds flamand des communes, et l'annexe au décret portant organisation des élections locales et provinciales du 8.7.2011.
[7] Cette solution est inspirée de la Flandre. V. par ex. art. 2, par. 2 et 3, du décret du Parlement flamand du 4.5.2018 relatif à la fusion volontaire des communes de Puurs et Sint-Amands et modifiant l'annexe au décret du 5.7.2002 réglant la dotation et la répartition du Fonds flamand des communes, et l'annexe au décret portant organisation des élections locales et provinciales du 8.7.2011.
[8] Cet article implique que l’article 37, par. 1er, al. 1er, du décret du Parlement flamand du 8.7.2011 portant organisation des élections locales et provinciales et portant modification du décret communal du 15.7.2005, du décret provincial du 9.12.2005 et du décret du 19.12.2008 relatif à l'organisation des centres publics d'aide sociale, qui énonce qu’« un bureau principal communal est constitué dans chaque commune. Dans les communes où la liste électorale consiste en une seule section de vote, l'unique bureau de vote fait également office de bureau principal communal », doit en fait être lu comme suit : « Pour les communes fusionnées, un bureau principal communal est constitué dans chaque commune. Dans les communes où la liste électorale consiste en une seule section de vote, l'unique bureau de vote fait également office de bureau principal communal ».
[9] Pour plus d’informations : https://statbel.fgov.be/fr/propos-de-statbel/methodologie/classifications/geographie
Cette fiche provient du Vade-mecum à destination des pouvoirs locaux pour une fusion volontaire réussie
Depuis la publication au Moniteur belge du 17 septembre 2019 du décret du 2 mai 2019, modifiant le Code de la démocratie locale et de la décentralisation (CDLD) en vue d’établir le cadre de la fusion volontaire de communes, et du décret du 2 mai 2019, modifiant la loi du 8 juillet 1976 organique des centres publics d’action sociale dans le cadre de la fusion volontaire de communes et relativement à l’installation des conseils de l’action sociale, certaines communes situées sur le territoire de la région de langue française peuvent d’ores et déjà être tentées de sauter le pas, tout en se demandant vers quoi elles vont ainsi s’engager.
C’est pour démystifier ce saut dans l’inconnu et tenter de répondre à une première série de questions que le présent vade-mecum a été élaboré. Il s’agit de mettre en avant les points d’attention pour réussir sa fusion.
Lire aussi en Fonctionnement institutionnel
Formations - Fonctionnement
- Assemblée générale extraordinaire
- Le fonctionnement de la commune
- Le fonctionnement des CPAS
- Webinaire Archivage : comment et pourquoi capitaliser sur les données à archiver au sein de votre institution ?
- La motivation des actes administratifs en CPAS
- La rédaction des actes administratifs
- RGPD: le rôle du DPO en CPAS


